Background:
Secondary acute myeloid leukemia (sAML) is a distinct type of AML. Transplantation, a potentially curative therapy, outcomes are inferior compared to de novo AML. We recently demonstrated (J Hematol Oncol 2023) that results of non-T-cell depleted haploidentical stem cell transplantation (HaploSCT) with post-transplant cyclophosphamide (PTCy) in sAML in complete remission are not significantly different from those in de novo AML. However, the challenge in relapse (Rel)/primary refractory (PR) AML is much higher.
Methods:The study aim was to compare the outcomes of HaploSCT with PTCy, performed between 2010 and 2022, in first Rel(Rel1)/PR sAML versus those in Rel1/PR de novo AML. Statistical tests included a multivariate analysis (MVA) adjusting for potential confounding factors using a Cox proportional-hazards regression model for main outcomes.
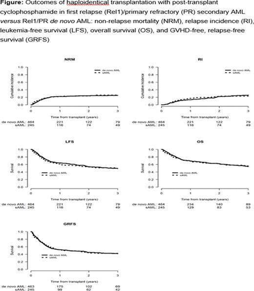
Results: A total of 719 patients (pts) met the inclusion criteria, 129 with sAML and 590 with de novo AML. Median follow-up was 45.6 (IQR] 39.1-57.9) and 43.5 (IQR, 37.5-48.0) months for pts with sAML and de novo AML, respectively (p=0.20). Pts with de novo AML were younger, with a median age of 55.4 (range 18-77.8) versus 61.3 (21-78.8) years, (p<0.0001). The median year of the transplant was 2018 (2010-2011) in pts with sAML and 2017 (2010-2022) in those with de novo AML (p=0.62) and 65.1% and 57.6%, were male (p=0.11). In 81.4% of sAML pts, the antecedent hematological disorder was myelodysplastic syndrome. The cytogenetic risk was categorized as intermediate (58.6% vs 59.4%), adverse (37.4% vs 34.7%), and favorable (4% vs 5.9%) for pts with sAML and de novo AML, respectively (p=0.75) (data missing for 145 pts). A higher percentage of pts with sAML vs de novo AML had PR disease (73.6% vs 58.6%) (p=0.002). HCT-CI was higher in the sAML vs the de novo AML group, with HCT-CI >3 in 40.3% vs 21.9%, respectively (p<0.0001), while the Karnofsky performance status (KPS) did not differ. There was no difference in the frequency of cytomegalovirus (CMV) seropositivity and female donor to male pt combination between the two pt groups. Reduced intensity conditioning was received by 60.2% and 52.2% of the sAML and de novo AML pts, respectively (p=0.1), with thiotepa/busulfan/fludarabine being the most frequent regimen for both groups (38.8% vs 42%, respectively). Graft source was mainly peripheral blood stem cells (PB) in both sAML (69.8.5%) and de novo (66.8%) groups. All pts received PTCy as graft- versus-host disease (GVHD) prophylaxis in combination with immunosuppression, which was cyclosporine A (CSA)/ mycophenolate mofetil in 41.1% vs 52.9% and CSA/tacrolimus in 41.1% vs 33.6% respectively.
Cumulative incidence of absolute neutrophil count (ANC) >0.5 x 10 9/L at day 60 was 83.5% vs 88.4% (p=0.13), respectively. Day 180 incidence of acute (a) GVHD II-IV and III-IV was 20% vs 26.9% (p=0.12) and 8.9% vs 10.4%, (p=0.21), respectively. The 2-year (y) total and extensive chronic (c) GVHD were 25.3% vs 20.7% (p=0.27) and 12.5 % vs 10.3% (p=0.46), respectively. In MVA HaploSCT outcomes did not differ significantly between the Rel1 /PR sAML and de novo groups; 2-y non-relapse mortality (NRM) hazard ratio (HR)=1.38 (95% CI 0.96-1.98, p=0.083). Infections and GVHD were the cause of death in 20.8% and 9.3% of pts who died. The HR for 2-y relapse incidence (RI) was 0.68 (95% CI 0.4.7.-1.00, p=0.051) and RI was the main cause of death in 40.9% and 59.3% of pts who died, respectively. The 2-y leukemia-free survival (LFS), overall survival (OS), and GVHD-free, relapse-free survival (GRFS) did not differ between the two groups with HR=0.99 (95% CI 0.76-1.28, p<0.94), HR=0.99 (95% CI 0.77-1.29, p=0.973) and HR=0.99 (95% CI 0.77-1.27, p=0.94), respectively. Adverse-risk cytogenetics was a poor prognostic factor for RI and both higher age (per 10y) and lower KPS were poor prognostic factors for NRM. Adverse-risk cytogenetics and lower KPS were poor prognostic factors for LFS, OS, and GRFS. In addition, pt CMV seropositivity was a poor prognostic factor for OS. Finally, PB grafts were associated with increased risk of all grades and severe aGVHD.
Conclusions: In this registry-based retrospective analysis, we observed similar outcomes, of HaploSCT with PTCy for Rel1/PR sAML compared to Rel1/PR de novo AML, with HaploSCT being able to rescue about one-third of the pts. However, relapse is still 43%. The recently approved novel agents for sAML will hopefully further improve sAML outcomes.
Disclosures
Forcade:Astellas: Speakers Bureau; Alexion: Other: Travel support, Speakers Bureau; Novartis: Consultancy, Other: Travel support, Speakers Bureau; Gilead Sciences: Other: Travel support, Speakers Bureau; GSK: Speakers Bureau; Sanofi: Speakers Bureau; MSD: Other: Travel support. Mohty:JAZZ PHARMACEUTICALS: Honoraria, Research Funding.
